Kahibaro
Discord Login Register

1.3.13.4 Adiabatic Processes

In the previous sections, the heat capacities for the isochoric and isobaric cases, \(c_\mathrm{V}\) and \(c_\mathrm{p}\), were derived. Now we consider the case where a system performs mechanical work so quickly that no heat exchange with the surroundings is possible. Such a process is called adiabatic. For this period, the system can therefore be regarded as perfectly isolated.

In this case, the heat term \(\mathrm{d}Q\) vanishes, leaving only:

$$
\mathrm{d}U = -p\,\mathrm{d}V
$$

If we replace \(\mathrm{d}U\) with \(c_\mathrm{V}\,\mathrm{d}T\) and \(p\) with the ideal gas law \(pV = RT\) for \(n=1\) mol, we obtain after rearranging the following differential equation:

$$
c_\mathrm{V} \frac{\mathrm{d}T}{T} = -R \frac{\mathrm{d}V}{V}
$$

Integrating both sides (indefinitely), we find:

$$
c_\mathrm{V} \ln T = R \ln V + \mathrm{const}
$$

Bringing \(R \ln V\) to the left-hand side and applying logarithm rules yields:

$$
\ln \left(T^{c_\mathrm{V}} V^{-R}\right) = \mathrm{const}
$$

Thus, the argument of the logarithm must also remain constant. Using the definition of $c_p$, we obtain:

$$
T^{c_\mathrm{V}} V^{c_\mathrm{V} - c_\mathrm{p}} = \mathrm{const}
$$

Taking the \(c_\mathrm{V}\)-th root on both sides leads to the following expression:

$$
TV^{\kappa - 1} = \mathrm{const}
$$

Here, the ratio of \(c_\mathrm{p}\) to \(c_\mathrm{V}\) has been introduced as the so-called adiabatic index \(\kappa\):

$$
\kappa = \frac{c_\mathrm{p}}{c_\mathrm{V}}
$$

With the general gas law, one can also derive a second important relation:

$$
p V^\kappa = \mathrm{const}
$$

These two relations are usually called the adiabatic equations and describe how the three state variables pressure, volume, and temperature of an ideal gas behave relative to each other during adiabatic changes.

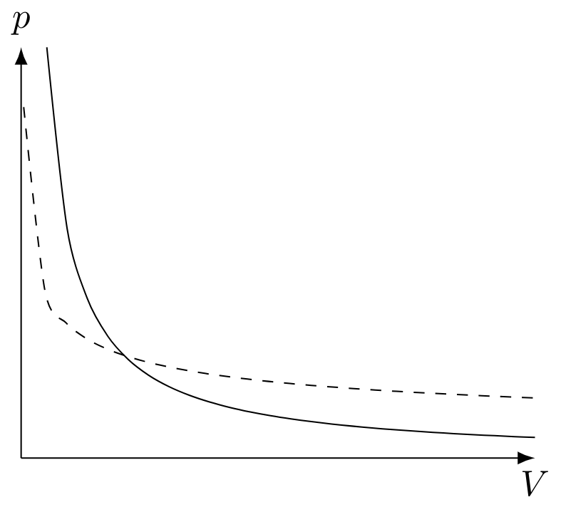
The following image shows a comparison between an adiabatic and isothermal process.

Comparison between adiabatic and isothermal changes.

Since \(\kappa\) is always greater than 1, the adiabatic curve is steeper for small values of \(V\) than the curve of an isothermal change with \(\mathrm{d}Q > 0\).
Only for larger volumes (greater than 1) does its slope become flatter.

Substituting the heat capacities into the adiabatic coefficient gives the relation:

$$
\kappa = \frac{f + 2}{f}
$$

For an ideal gas, the number of degrees of freedom is always \(f = 3\), since only translation plays a role here. This gives \(\kappa = 5/3\).

For molecular substances such as nitrogen or oxygen, \(f = 5\), leading to \(\kappa = 7/5\).

Views: 181

Comments

Please login to add a comment.

Don't have an account? Register now!